进程内的多线程高并发控制

2022-06-22

940

作者:kaiyun开云创新 张磊


何为并发控制


这篇文章我们总结一下进程内的并发控制问题,主要是在高并发下的进程内部并发控制。


那么,什么是并发控制呢?


并发控制这个问题,从概念上讲,不难理解,个人觉得并发控制就是在多线程的环境下,控制请求或者任务的执行顺序,避免产生因为资源竞争导致的数据处理问题。


为什么要做多线程的并发控制?


这一切得从JVM底层的内存模型JMM(Java Memory Model)说起,设计Java的内存模型的主要目标是定义进程内各个变量的访问规则,也就是说在JVM内部,变量值的读取与存储的底层细节。JMM主要分为主内存和工作内存两个部分,根据周志明写的《深入理解Java虚拟机》一书中的描述,线程、工作内存和主内存之间的关系如下图所示:

可以看到,图中一共有三个区域,线程执行区、工作内存、主内存,其中线程执行区和工作内存是线程独享的,也就是线程隔离的,而主内存也就是我们常说的堆里面存储对象实例数据所占用的内存,是线程共享的。JVM定义了8种内存间的交互操作,分别如下:


  • · lock(锁定):作用于主内存的变量,把一个变量标识为一条线程独占状态。
  • · unlock(解锁):作用于主内存变量,把一个处于锁定状态的变量释放出来,释放后的变量才可以被其他线程锁定。
  • · read(读取):作用于主内存变量,把一个变量值从主内存传输到线程的工作内存中,以便随后的load动作使用
  • · load(载入):作用于工作内存的变量,它把read操作从主内存中得到的变量值放入工作内存的变量副本中。
  • · use(使用):作用于工作内存的变量,把工作内存中的一个变量值传递给执行引擎,每当虚拟机遇到一个需要使用变量的值的字节码指令时将会执行这个操作。
  • · assign(赋值):作用于工作内存的变量,它把一个从执行引擎接收到的值赋值给工作内存的变量,每当虚拟机遇到一个给变量赋值的字节码指令时执行这个操作。
  • · store(存储):作用于工作内存的变量,把工作内存中的一个变量的值传送到主内存中,以便随后的write的操作。
  • · write(写入):作用于主内存的变量,它把store操作从工作内存中一个变量的值传送到主内存的变量中。



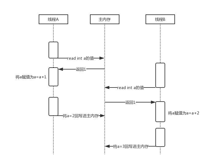
根据上面java内存模型定义中可以看到,java对象的数据都是在主内存中,每个线程要去使用的时候,首先要通过read-load操作,将主内存的数据加载到工作内存中,成为一个数据副本,后面线程执行引擎使用的时候,通过use-assign操作从工作内存中将变量副本加载出来用于栈上计算,用完后通过store-write操作将工作内存中的数据回写到主内存中。整个过程如果不做并发控制,用最基本的两个线程对同一个主内存数据操作来举例说明:

上图是最基本的多线程并发修改的示例图,两个线程同时对一个变量值a进行赋值操作,根据Java内存模型中定义的那几步操作来看,如果说不加锁控制的情况下,会发生如图中所示的场景,整形变量a初始值等于1,线程A对变量a进行加1操作,线程B对变量a进行加2操作,按理a最终应该为4,但是由于发生了并发修改,导致a最终为3,原因很简单,线程A在工作内存中修改了变量a的值,但是还没有往主内存中写的时候,线程B已经从主内存中读取变量a的值进行操作了,由于工作内存是线程隔离的,因此线程B并不知道线程A修改了变量a的值,导致线程B读取变量a的值是线程A修改之前的值,这个时候就发生了多线程的并发修改问题。因此,为了避免这种情况发生,我们应该对多线程的并发修改做控制,也就是今天的主题,进程内的多线并发控制。


如何做并发控制


之前的文章里面也聊到过并发控制,但是讲得比较浅,想在这里多聊一下并发控制相关的处理。一说到并发控制,可能很多人第一时间会想到锁,其实锁这个东西,不是个好东西,不得已的情况下,并不推荐用锁来实现并发控制。CPU是一个很昂贵的系统资源,现在一个CPU也就几十个核,CPU的计算资源很宝贵,线程执行的时候,是通过CPU的时间片轮转方式执行,如果进行线程上下文切换,那么会浪费CPU的时钟,因此一个核也就适合1-2个线程占用执行,如果通过锁的方式来控制并发,那么可能会产生大量的block,导致上下文切换,非常浪费CPU的时钟,所以锁是最后考虑的用作同步的方式。


进程内的队列使用


如果多线程内并发处理的地方比较多,那么看看能否从设计的角度来规避这个问题,例如事件驱动模型中,将多个线程中的请求,通过Disruptor的方式,聚合到一个线程中去处理,这个比较适合SEDA这种线程并发结构,如下图所示:

这样可以规避多线程的并发处理问题,当然并不是说所有多线程并发控制都适合这么做,这是一种规避并发控制的思路,可以参考。


集合的合理使用


高并发下的集合使用,可能会想到ArrayList、HashMap这类没有做并发控制的集合,在高并发下,要使用Collections的synchronized方法,转换成装饰过的类来进行并发控制,如果是HashMap的话,采用ConcurrentHashMap来进行并发控制,ConcurrentHashMap采用二次hash的方式来进行分段并发控制,相比table的话,效率更高一点,适合写比较多的环境。

COW(Copy On Write)


上面讲的集合使用,其实还有一种方式可以考虑,就是COW写时复制的方式,这种方式适合读多写少的环境,可以提高并发性能,guava里面有Lists.newCopyOnWriteArrayList()可以直接使用,map的话需要自己做控制,具体实现可以百度。


CAS(Compare And Swap)


CAS是一种系统原语,原语属于操作系统用语范畴,是由若干条指令组成的,用于完成某个功能的一个过程,并且原语的执行必须是连续的,在执行过程中不允许被中断,也就是说CAS是一条CPU的原子指令,不会造成所谓的数据不一致问题。CAS在Java中的应用,即并发包中的原子操作类(Atomic系列),从JDK 1.5开始提供了java.util.concurrent.atomic包,在该包中提供了许多基于CAS实现的原子操作类,使用起来很简单,具体可以自行百度。


volatile内存屏障的使用


可能很多新手没有见过这个关键字,老程序猿对这个关键字也不熟悉,我也是之前看过很多资料,里面讲到过volatile关键字的内存屏障功能,但是这个关键字我感觉是java里面最难使用的一个关键字了,Disruptor里面采用volatile来替换锁的案例非常成功,有兴趣的可以看一下这篇文章《disruptor-memory-barrier》。


锁的使用


直到最后,才是锁的使用。这个也是大部分程序猿最熟悉的进程内并发控制的方式。目前锁主要有synchronized关键字和concurrent包里面的lock,至于如何选择synchronized和lock的使用场景,synchronized关键字是由JVM来控制内部执行的,每个object都有一个monitor,synchronized关键字就是去获得这个monitor对象,有点类似于操作系统的PV操作,这个锁是非公平锁,适合竞争不激烈的情况,竞争激烈的时候性能没有lock高。Lock是Concurrent包里面提供的,由JDK提供的锁,有多种实现,这个使用非常灵活,适合复杂的业务场景,但是这个lock一定要在try-finally中关闭,防止锁死。所以一些简单的业务场景,可以使用synchronized关键字,复杂的业务场景可以考虑使用lock,具体的使用方式网上资料一大把,这里不细说了。


总结


之前一直对高并发应用和性能情有独钟,也做过高并发产品,总之这条路太深了,涉及到的知识点很多,坑也很多,且行且珍惜。

技术交流
我们建立了多个云原生技术交流群,其中有来自Oracle、Citrix、华为、腾讯等国内外云计算专家,立即扫码,拉你进群。目前已有2000+开发者加入我们......
云原生厂商 云原生技术服务商
在云原生时代,kaiyun开云创新致力于通过赋能开发者,实现企业快速迭代与交付,大幅提升创新效率。
产品下载